Home
About Us
Board of Directors
MD's Message
Board of Management
Key Personnel
Offices (Local and Foreign)
Chart
Pakistan Official Map (Political)
Sectors
Overview
Architecture & Planning Sector
Agriculture Sector
Building Services Sector
Communication Sector
Disaster Management and Reconstruction Sector
Energy Sector
Environment Sector
Geographical Information System Sector
Industrial Sector
Information Technology Sector
Oil, Gas and Petrochemical Sector
Public Health Engineering Sector
Water Resources Development and Dam Engineering Sector
Divisions
Head Office
Overview
Architecture & Planning (Lahore)
Architecture & Planning (Karachi)
Contracts
Construction Management
Economics Studies
Environmental & Public Health Engineering
Finance
Geotech. & Geoenvironmental Engineering
Highways and Transportation Engineering
Corporate Affairs, Coordination & HR Division
Monitoring and Quality Control
New Ventures
Power & Mechanical
Structural Engineering
Water & Agriculture
Other Offices
Islamabad Office
Karachi Office
Quetta Office
Peshawar Office
Overseas
Overview
NESPAK IN SAUDI ARABIA
NESPAK IN OMAN
NESPAK IN QATAR
NESPAK IN IRAN
NESPAK IN AFGANISTAN
NESPAK IN UAE
NESPAK IN NIGERIA
NESPAK IN IRAQ
NESPAK IN YEMEN
Projects
Major Projects
Project Videos
Careers
Employment Opportunities
Contact Us
Resources
News Room
Corporate News
Project News
Video Clippings
Downloads
MD REPORT
PROFILE 1973 - 2024
OVERSEAS PROFILE
NEWS REPORT
CERTIFICATES / POLICIES
BIDDING DOCUMENTS
NESPAK Giveaways
Links
NESPAK-MIS
Web Mail
NESPAK E-portal
Advertisements
Advertisements
INVITIATION FOR E-BID CAFETERIA SERVICES AT NESPAK HOUSE LAHORE
(Date of Publication: 29-04-2026)
Bidding Document
SUPPLY OF SUMMER UNIFORM
(Date of Publication: 09-04-2026)
Bidding Document
INVITATION FOR E-BIDS (2.5 MW MINI HYDROPOWER PROJECT AT DUBAIR KHWAR LOWER KOHISTAN, KPK (LADP DASU)
(Date of Publication: 03-04-2026)
Bidding Document
INVITATION FOR E- BIDS (1.5 MW THOOTHI MINI HYDROPOWER PROJECT DISTRICT KOHISTAN UPPER, KPK (LADP DASU) GEOTECHNICAL INVESTIGATIONS
(Date of Publication: 03-04-2026)
Bidding Document
Providing Janitorial Services for NESPAK Offices located in Lahore
(Date of Publication: 02-04-2026)
Bidding Document
INVITATION FOR BIDS SUPPLY OF VARIOUS ITEMS AT DBCG MANAGEMENT OFFICE LAHORE
(Date of Publication: 23-03-2026)
Bidding Document
SUPPLY OF STATIONERY ITEMS
(Date of Publication: 18-03-2026)
Detail Advertisement
SELECTION OF FIRM FOR PROVISION OF HEADHUNTING SERVICES
(Date of Publication: 10-03-2026)
REQUEST FOR QUOTATION PROCUREMENT OF DIGITAL ELEVATION MODEL (DEM) AND LATEST ARCHIVE STEREO SATELLITE IMAGERY (AREA = 6,120 SQ.KM)
(Date of Publication: 06-03-2026)
TORs
INVITATION FOR BIDS FOR SUPPLY OF SOFTWARE
(Date of Publication: 06-03-2026)
Bidding Document
INVITATION FOR BIDS FOR PROCUREMENT OF TWO (02) GROUND MAGNETOMETERS INSTRUMENTS WITH ACCESSORIES
(Date of Publication: 28-02-2026)
Bidding Document
HIRING OF CONTRACTING SERVICES FOR THE WASTE CHARACTERIZATION OF FRESH AND LEGACY WASTE AT LAKHODAIR LANDFILL SITE, LAHORE
(Date of Publication: 28-02-2026)
Bidding Document
CORRIGENDUM HIRING OF FIELD & CAMP OFFICES FOR SITES IN SKARDU, GILGIT AND CHILAS.
(Date of Publication: 25-02-2026)
HIRING OF RESIDENTIAL-CUM-OFFICE BUILDING ON RENT IN SKARDU-BALTISTAN, GILGIT AND CHILAS
(Date of Publication: 21-02-2026)
Sakardu
Gilgit
Chilas
INVITATION TO E-BIDS (PROVIDING JANITORIAL SERVICES AT NESPAK HOUSE PESHAWAR)
(Date of Publication: 21-02-2026)
Bidding Document
NOTICE INVITING E-BIDS BY NESPAK, SUPPLY OF IT EQUIPMENT
(Date of Publication: 17-02-2026)
Bidding Document
NOTICE INVITING E-BIDS BY NESPAK, SUPPLY OF DRONE
(Date of Publication: 03-02-2026)
Bidding Document
PROVISION OF JANITORIAL SERVICES AT NESPAK OFFICE, ISLAMABAD (CORRIGENDUM)
(Date of Publication: 28-01-2026)
TOR
OFFICE SPACE FOR RENT AT NESPAK OFFICE ISLAMABAD
(Date of Publication: 24-01-2026)
TOR
NOTICE INVITING E-BIDS BY NESPAK PURCHASE OF I.T EQUIPMENT (DESKTOP COMPUTERS AND LAPTOPS)
(Date of Publication: 22-01-2026)
Bidding Document
NESPAK REQUIRES SUPPLY OF TONER AND INK CARTRIDGE FOR HEAD OFFICE LAHORE
(Date of Publication: 21-01-2026)
Bidding Document
INVITATION TO E-BIDS FOR ENLISTMENT OF PHARMACIES ON NESPAK PANEL IN PESHAWAR
(Date of Publication: 21-01-2026)
Bidding Document
INVITATION FOR BIDS GEOTECHNICAL INVESTIGATIONS FOR CONSULTANCY SERVICES FOR DESIGNING & CONSTRUCTION SUPERVISION OF COMMUNITY CENTRE NEAR SAHIANWALA INTERCHANGE, FAISALABAD
(Date of Publication: 06-01-2026)
Bidding Document
TENDER NOTICE PROCUREMENT OF OFFICE FURNITURE FOR NESPAK SITE OFFICES
(Date of Publication: 31-12-2025)
Bidding Document
NOTICE INVITING E-BIDS BY NESPAK GEOTECHNICAL INVESTIGATIONS FOR CONSTRUCTION OF PURPOSE-BUILT FORENSIC LABORATORY AT NATIONAL FORENSICS AGENCY, ISLAMABAD (CORRIGENDUM)
(Date of Publication: 24-12-2025)
Bidding Document
NOTICE INVITING E-BIDS RENTAL ACCOMMODATION REQUIRED BY NESPAK (CORRIGENDUM)
(Date of Publication: 16-12-2025)
Bidding Document
INVITATION OF E-BIDS GEOTECHNICAL INVESTIGATIONS FOR CONSTRUCTION OF NADRA HQ BUILDING AT PLOT NO. 57-B, BLUE AREA, F-6, ISLAMABAD
(Date of Publication: 12-12-2025)
Bidding Document
NOTICE INVITING E-BIDS BY NESPAK GEOTECHNICAL INVESTIGATIONS FOR CONSTRUCTION OF PURPOSE-BUILT FORENSIC LABORATORY AT NATIONAL FORENSICS AGENCY, ISLAMABAD
(Date of Publication: 10-12-2025)
Bidding Document
VEHICLES REQUIRED ON RENT BY NESPAK
(Date of Publication: 06-12-2025)
Bidding Document
NOTICE INVITING E-BIDS RENTAL ACCOMMODATION REQUIRED BY NESPAK
(Date of Publication: 02-12-2025)
Bidding Document
INVITATION TO E-BIDS SURVEYING, ENGINEERING DESIGN, TECHNICAL SPECIFICATIONS AND PREPARATION OF BIDDING DOCUMENT FOR 03 PILOT PLANTS OF WASTEWATER TREATMENT IN PUNJAB GEOTECHNICAL INVESTIGATIONS FOR WASTEWATER TREATMENT PLANT IN VILLAGE SAR KALAN, KALLAR KAHAR
(Date of Publication: 26-11-2025)
Bidding Document
INVITATION TO E-BIDS PROVIDING JANITORIAL SERVICES AT NESPAK HOUSE PESHAWAR
(Date of Publication: 22-11-2025)
Bidding Document
HIRING OF CONTRACTING SERVICES FOR THE WASTE CHARACTERIZATION OF FRESH AND LEGACY WASTE AT LAKHODAIR LANDFILL SITE, LAHORE
(Date of Publication: 12-11-2025)
Bidding Document
Final Evaluation Report
RENTAL ACCOMMODATION REQUIRED BY NESPAK
(Date of Publication: 08-11-2025)
SUPPLY OF IT EQUIPMENT
(Date of Publication: 06-11-2025)
Bidding Document
INVITATION TO E-BIDS FOR HIRING THE SERVICES OF AUDIT FIRM FOR STATUTORY AUDIT FOR THE THREE YEAR PERIOD FROM JULY 01, 2022 TO JUNE 30, 2025
(Date of Publication: 22-10-2025)
Bidding Document
SUPPLY OF HARDWARE
(Date of Publication: 22-10-2025)
Bidding Document
INVITATION TO E-BIDS PROVIDING SECURITY SERVICES AT NESPAK OFFICES LOCATED IN LAHORE
(Date of Publication: 14-10-2025)
Bidding Document
INVITATION TO E-BIDS PROVIDING SECURITY SERVICES AT NESPAK HOUSE PESHAWAR
(Date of Publication: 10-10-2025)
Bidding Document
VIDEOGRAPHY/PHOTOGRAPHY OF NESPAK MAJOR PROJECTS
(Date of Publication: 02-10-2025)
Bidding Document
INVITATION TO BID FOR SUPPLY OF DRONE AND ALLIED EQUIPMENT/SOFTWARES
(Date of Publication: 05-09-2025)
Bidding Document
SUPPLY OF HARDWARE/IT EQUIPMENT
(Date of Publication: 09-08-2025)
Bidding Document
HOUSE REQUIRED ON RENT IN ISLAMABAD
(Date of Publication: 08-08-2025)
HIRING OFFICE BUILDING ON RENT IN DASU, KOHISTAN
(Date of Publication: 01-08-2025)
INVITATION FOR BIDS REPLACEMENT, SUPPLY, INSTALLATION, TESTING & COMMISSIONING OF FIFTEEN (15) Nos. AIR HANDLING UNITS (AHUs) AT NESPAK HOUSE, LAHORE
(Date of Publication: 30-07-2025)
Bidding Document
INVITATION OF BIDS FOR CONDUCTING FIELD & LABORATORY TESTING OF EXISTING JETTY AT KORANGI FISH HARBOR
(Date of Publication: 26-07-2025)
Bidding Document
INVITATION FOR BIDS PROVISION OF SECURITY SERVICES AT NESPAK OFFICE, ISLAMABAD
(Date of Publication: 26-07-2025)
Bidding Document
INVITATION FOR BIDS GEOTECHNICAL INVESTIGATIONS DEVELOPMENT OF LAHORE MARKETING OFFICE OF AL-GHAZI TRACTORS LIMITED AT KOT ABDUL MALIK, SHEIKHUPURA
(Date of Publication: 11-07-2025)
Bidding Document
Technical Evaluation Report
Final Evaluation Report
Purchase of 02 Nos. Desktop Computers with Accessories
(Date of Publication: 18-07-2025)
Bidding Document
Technical Evaluation Report
Financial Evaluation Report
INVITATION FOR BIDS GEOTECHNICAL INVESTIGATIONS YELLOW LINE MASS TRANSIT CORRIDOR, LAHORE
(Date of Publication: 08-07-2025)
Bidding Document
Technical Evaluation Report
Financial Evaluation Report
INVITATION FOR BIDS YELLOW LINE MASS TRANSIT CORRIDOR, GUJRANWALA GEOTECHNICAL INVESTIGATIONS
(Date of Publication: 19-06-2025)
Bidding Document
Technical Evaluation Report
Financial Evaluation Report
SUPPLY OF STATIONERY ITEMS
(Date of Publication: 19-06-2025)
Bidding Document
INVITATION FOR BIDS CONSTRUCTION OF CELESTIA-II TOWER, NAWAZ SHARIF IT CITY (NSIT) (PLOT NO. B-23-03) GEOTECHNICAL INVESTIGATIONS
(Date of Publication: 18-06-2025)
Bidding Document
Evaluation Report
Final Evaluation Report
Purchase of Office Stationery
(Date of Publication: 04-06-2025)
TOR English
TOR Urdu
Purchase of A4 & A3 Paper Reams
(Date of Publication: 04-06-2025)
TOR English
TOR Urdu
SERVICES REQUIRED FOR PHOTOCOPY, PRINTING & SCANNING WORKS
(Date of Publication: 24-05-2025)
TOR English
TOR Urdu
Supply of IT Equipment
(Date of Publication: 24-05-2025)
Bidding Report
INVITATION OF BIDS FOR CONDUCTING FIELD & LABORATORY TESTING OF EXISTING JETTY AT KORANGI FISH HARBOR
(Date of Publication: 16-05-2025)
Bidding Report
SUPPLY OF STEREO SATELLITE IMAGERY
(Date of Publication: 16-05-2025)
Bidding Report
INVITATION FOR BIDS FOR GEOTECHNICAL INVESTIGATIONS FEASIBILITY STUDIES FOR ESTABLISHMENT OF 50-BEDDED BHURBAN HOSPITAL BHURBAN U/C RAWAT TEHSIL & DISTRICT MURREE
(Date of Publication: 02-05-2025)
Bidding Report
Final Evaluation Report
INVITATION FOR BIDS OPERATION AND MAINTENANCE (O&M) OF TWO (02) ELEVATORS INSTALLED AT NESPAK HOUSE, LAHORE
(Date of Publication: 04-05-2025)
Bidding Report
INVITATION FOR BIDS PROCUREMENT OF HIGH-TECH DESKTOP COMPUTERS AND LAPTOP
(Date of Publication: 03-05-2025)
Bidding Report
INVITATION FOR BIDS SUPPLY OF RENTAL VEHICLE SERVICES IN DISTRICT MOHMAND, KHYBER PAKHTUNKHWA
(Date of Publication: 01-05-2025)
Bidding Report
INVITATION FOR BIDS CONSULTANCY SERVICES FOR ESTABLISHMENT OF FORENSIC SCIENCE LABORATORY (FSL) AT PESHAWAR
(Date of Publication: 23-04-2025)
Bidding Report
Technical Evaluation Report
Final Evaluation Report
INVITATION FOR BIDS Hiring of Firm for Hydrogeological /Geophysical Investigation through Pumping Out and Installation of Piezometers/Observation Wells in 10 Km belt Astride of Nara Canal in Sindh
(Date of Publication: 28-03-2025)
Bidding Report
NESPAK- REQUIRES SUPPLY OF SUMMER UNIFORM CLOTH
(Date of Publication: 20-03-2025)
INVITATION FOR BIDS (Detailed Design for Widening And Improvement Of Priority Sections Of N-5 (465 kms)
(Date of Publication: 26-03-2025)
Bidding Report
NESPAK- REQUIRES TONER AND INK CARTRIDGES FOR HEAD OFFICE LAHORE
(Date of Publication: 24-03-2025)
INVITATION OF BIDS FOR ENVIRONMENTAL MONITORING AND LABORATORY TESTING CONSULTANCY SERVICES FOR WATER RESOURCES DEVELOPMENT IN CHOLISTAN
(Date of Publication: 19-03-2025)
Bidding Report
DIAMER BASHA DAM PROJECT INVITATION TO BID FOR GROUP LIFE INSURANCE OF NON-TECHNICAL/ WORK CHARGED SUPPORT STAFF
(Date of Publication: 19-03-2025)
Bidding Report
NESPAK- REQUIRED STATIONERY ITEMS FOR HEAD OFFICE LAHORE
(Date of Publication: 11-03-2025)
INVITATION OF BIDS FOR GEOTECHNICAL INVESTIGATIONS ESTABLISHMENT OF NEW STATE OF THE ART PORT TERMINALS (TWO MULTIPURPOSE AND ONE INTEGRATED CONTAINER TERMINAL) AT PORT QASIM, KARACHI, PAKISTAN
(Date of Publication: 21-02-2025)
Bidding Report
Final Evaluation Report
INVITATION FOR BIDS FEASIBILITY STUDY OF PHASE-XIII (Ex. DHA CITY), DHA LAHORE GEOTECHNICAL INVESTIGATIONS
(Date of Publication: 21-02-2025)
Bidding Report
Technical Evaluation Report
Financial Evaluation Report
CONSTRUCTION OF BICYCLE LANE PROJECT (BLP) MAKING ISLAMABAD SUSTAINABLE CITY DESIGN VETTING/ REVIEW AND CONSTRUCTION SUPERVISION OF THE PROJECT "CONSTRUCTION OF BICYCLE LANE PROJECT (BLP) MAKING ISLAMABAD SUSTAINABLE CITY” INVITATION FOR BIDS
(Date of Publication: 08-02-2025)
SUPPLY OF SATELLITE IMAGES
(Date of Publication: 08-02-2025)
Bidding Report
KMZ FILE
TENDER NOTICE PROCUREMENT OF ACCESSORIES FOR SEISMOGRAPH EQUIPMENT COMPATIBLE WITH TERRALOC PRO 2 (OR EQUIVALENT)
(Date of Publication: 30-01-2025)
RAVI RIVERFRONT URBAN DEVELOPMENT PROJECT (RRUDP) BRIDGE 3 ROAD
(Date of Publication: 22-01-2025)
Bidding Report
Financial Evaluation Report
RAVI RIVERFRONT URBAN DEVELOPMENT PROJECT (RRUDP) FRUIT AND VEGETABLE MARKET PROPOSED STRUCTURES
(Date of Publication: 22-01-2025)
Bidding Report
Financial Evaluation Report
NESPAK- REQUIRES IT EQUIPMENT FOR HEAD OFFICE LAHORE
(Date of Publication: 09-01-2025)
Bidding Report
INVITATION FOR BIDS LDA CITY LAHORE GEOTECHNICAL INVESTIGATION FOR CONSTRUCTION OF FLYOVER /UNDERPASS FOR RAILWAY CROSSING AT NEELUM ROAD, LAHORE
(Date of Publication: 20-12-2024)
Bidding Report
Technical Evaluation Report
Financial Evaluation Report
TENDER NOTICE PROCUREMENT OF SURVEY EQUIPMENT
(Date of Publication: 04-12-2024)
Bidding Report
Technical Evaluation Report
Final Evaluation Report-1
Final Evaluation Report-2
INVITATION FOR BIDS HIRING THE SERVICES OF AUDIT FIRM FOR STATUTORY AUDIT
(Date of Publication: 01-12-2024)
Bidding Document
INVITATION FOR BIDS CONSULTANCY SERVICES FOR DESIGNING, PROCUREMENT & DETAIL SUPERVISION OF INFRASTRUCTURE DEVELOPMENT WORKS OF SECTOR F-12, ISLAMABAD
(Date of Publication: 04-12-2024)
Bidding Document
Technical Evaluation Report
Final Evaluation Report
INVITATION FOR BIDS (RENTING OUT OF 2 KANAL HOUSE LOCATED AT DHA PHASE-II LAHORE)
(Date of Publication: 25-11-2024)
Bidding Document
INVITATION FOR BIDS PROCUREMENT OF SERVICES FOR SUPPLY OF RENTAL VEHICLES AT DISTRICT MOHMAND, KP
(Date of Publication: 23-11-2024)
Bidding Document
INVITATION FOR BIDS-SUPPLY OF TRANSPORT SERVICES TO NESPAK OFFICE PESHAWAR
(Date of Publication: 14-11-2024)
Bidding Document
RAVI RIVERFRONT URBAN DEVELOPMENT PROJECT (RRUDP) RIVER TRAINING WORKS AND BARRAGES FEASIBILITY STUDY GEOTECHNICAL INVESTIGATION FOR RETAINING WALLS AND BARRAGES i) PHASE-II: START OF BARRAGE 1 TO BARRAGE 2 ii) PHASE-III: START OF BARRAGE 2 TO BARRAGE 3
(Date of Publication: 10-11-2024)
Bidding Document
Technical Evaluation Report
Final Evaluation Report
KMZ FILE
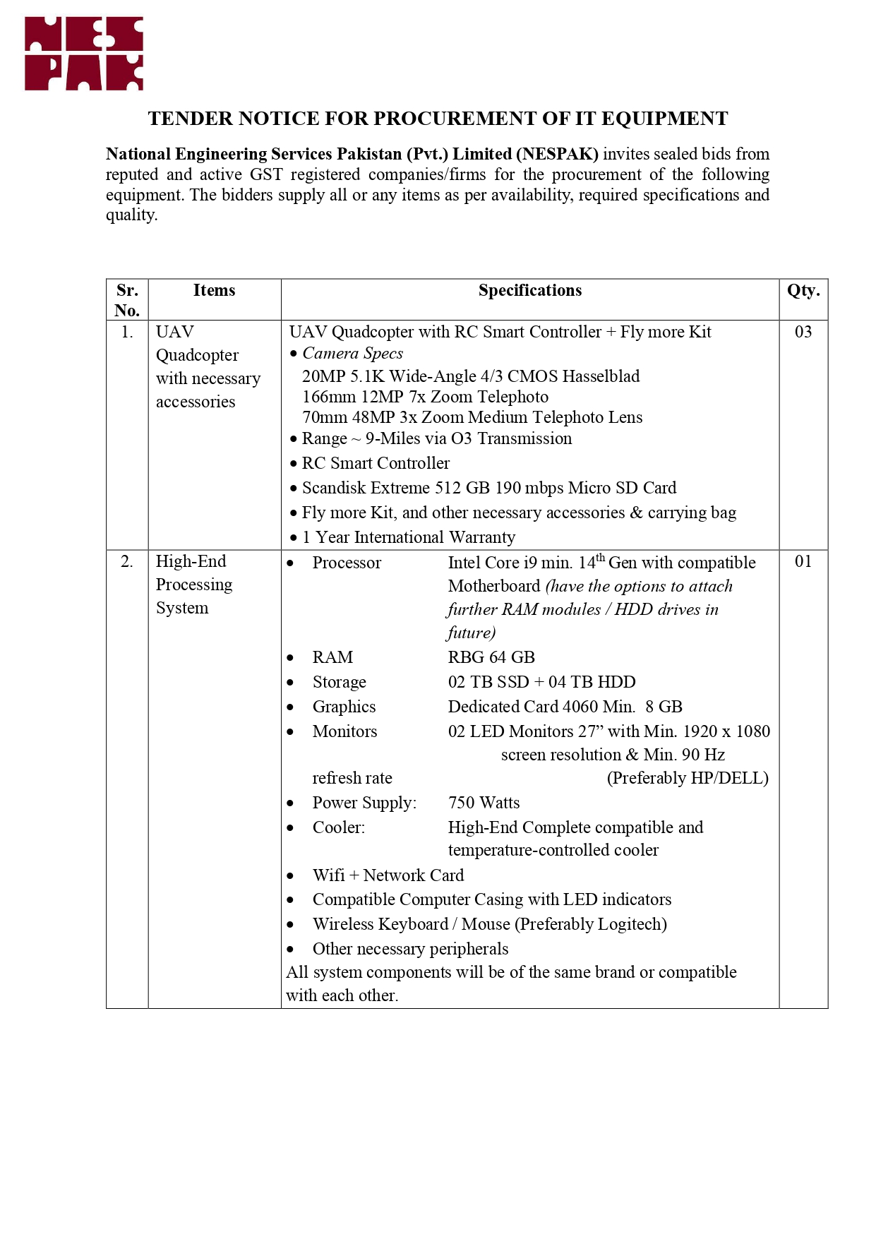
TENDER NOTICE FOR PROCUREMENT OF IT EQUIPMENT
(Date of Publication: 05-11-2024)
Evaluation Report
DIAMER BASHA DAM PROJECT INVITATION FOR BIDS LOT-1 SECURITY SERVICES (MANAGEMENT OFFICE LAHORE) AND LOT-2 SECURITY SERVICES (SITE OFFICE BUSHIDAS) AT DBCG MANAGEMENT OFFICE, LAHORE AND SITE OFFICE, BUSHIDAS
(Date of Publication: 30-10-2024)
Bidding Document
NESPAK- REQUIRES SUPPLY OF WINTER UNIFORM CLOTH, JERSEY AND SOCKS
(Date of Publication: 20-10-2024)
Bidding Document
INVITATION OF BIDS FOR GEOTECHNICAL INVESTIGATIONS FEASIBILITY STUDY FOR THE ESTABLISHMENT OF MALIR INDUSTRIAL PARK BETWEEN M-9 TO N-5 MOTORWAY KARACHI
(Date of Publication: 17-10-2024)
Bidding Document
Technical Evaluation Report
Final Evaluation Report
INVITATION FOR BIDS DETAILED DESIGN FOR WIDENING AND IMPROVEMENT OF PRIORITY SECTIONS OF N-5 (Package – 1, 2, 3, 4, 5, 6 & 7)
(Date of Publication: 14-10-2024)
Bidding Document
Technical Evaluation Sheet
Final Evaluation Report
INVITATION OF BIDS PROCUREMENT OF NEW TWO (2) TON CASSETTE TYPE AIR CONDITIONERS ALONGWITH ITS INSTALLATION, TESTING, COMMISSIONING IN KARACHI OFFICE
(Date of Publication: 26-09-2024)
Bidding Document
INVITATION FOR BIDS
(Date of Publication: 01-09-2024)
Bidding Document
NESPAK- REQUIRES SOFTWARE FOR NVD DIVISION LAHORE
(Date of Publication: 23-08-2024)
Bidding Document
-->-->
INVITATION FOR BIDS (HIRING THE SERVICES OF AUDIT FIRM FOR STATUTORY AUDIT)
(Date of Publication: 30-06-2024)
Bidding Document
NESPAK- REQUIRES TONER AND INK CARTRIDGES FOR HEAD OFFICE LAHORE
(Date of Publication: 27-06-2024)
SUPPLY OF AIR CONDITIONERS & WATER DISPENSERS
(Date of Publication: 27-06-2024)
SUPPLY OF FURNITURE
(Date of Publication: 27-06-2024)
INVITATION FOR BIDS TLS-18-2024: Detailed Survey & Sub-Soil Investigation of 500 kV Transmission Lines Geotechnical Investigations for 500 kV T/Lines LOT-I & LOT-II
(Date of Publication: 25-06-2024)
BOQ
INVITATION OF BIDS FOR GEOTECHNICAL INVESTIGATIONS CONSULTANCY SERVICES FOR DESIGNING/PLANNING ARCHITECTURE/STRUCTURAL DESIGN OF REGIONAL HEAD OFFICE BUILDING NADRA, MULTAN
(Date of Publication: 25-06-2024)
Bidding Document
Technical Evaluation Report
INVITATION OF BIDS FOR GEOTECHNICAL INVESTIGATIONS ENGINEERING DESIGN AND CONSTRUCTION SUPERVISION (EDCS) FOR CONSTRUCTION OF ELECTRIC BUSSES DEPOT UNDER PROJECT TITLED "INDUCTION OF ECO-FRIENDLY BUSES IN CITIES OF PUNJAB"
(Date of Publication: 21-06-2024)
Bidding Document
Technical Evaluation Report
Final Evaluation Report
Photocopy Machines on Rental Basis (Photocopying & Binding Services)
(Date of Publication: 21-06-2024)
INVITATION OF BIDS PROCUREMENT OF NEW TWO (2) TON CASSETTEE TYPE AIR CONDITIONERS ALONGWITH ITS INSTALLATION, TESTING, COMMISSIONING IN KARACHI OFFICE
(Date of Publication: 16-06-2024)
NESPAK- REQUIRES IT EQUIPMENT FOR HEAD OFFICE LAHORE
(Date of Publication: 13-06-2024)
INVITATION FOR BIDS TLS-18-2024: Detailed Survey & Sub-Soil Investigation of 500 kV Transmission Lines Geotechnical Investigations for 500 kV T/Lines LOT-I & LOT-II
(Date of Publication: 12-06-2024)
Bidding Document
500kV TL DC Matiari-Moro (Lot-I)
500kV TL DC Moro-RYK (Lot-II)
Technical Evaluation Report LOT-1
Final Evaluation Report LOT-1
Technical Evaluation Report LOT-2
Final Evaluation Report LOT-2
INVITATION OF BIDS FOR GEOTECHNICAL INVESTIGATIONS DESIGN CONSULTANCY SERVICES FOR BUILDINGS AND INFRASTRUCTURE OF PROPOSED NEW FAMILY APARTMENT / BLOCKS IN HOUSING COMPLEX AT PARCO-MCR
(Date of Publication: 04-06-2024)
Bidding Document
Final Evaluation Report
APPOINTMENT OF ADVERTISING AGENCIES
(Date of Publication: 01-06-2024)
TOR Document
INVITATION OF BIDS FOR GEOTECHNICAL INVESTIGATIONS CONSULTANCY SERVICES FOR STRENGTHENING / UP-GRADATION OF JINNAH SINDH MEDICAL UNIVERSITY (JSMU), KARACHI
(Date of Publication: 03-06-2024)
Bidding Document
Technical Evaluation Report
Final Evaluation Report
TENDER FOR PROCUREMENT OF SURVEY EQUIPMENT
(Date of Publication: 31-05-2024)
Technical Evaluation Report
Final Evaluation Report
Tender Document
Tender Document
INVITATION FOR BIDS FOR GEOTECHNICAL INVESTIGATIONS REFURBISHMENT / UPLIFTING OF NATIONAL CRICKET STADIUM KARACHI FAR END PAVILLION
(Date of Publication: 17-05-2024)
Bidding Document
Technical Evaluation Report
Final Evaluation Report
INVITATION FOR BIDS FOR GEOTECHNICAL INVESTIGATIONS CONSTRUCTION OF AN ADDITIONAL SEATING TIER ON TOP OF THE EXISTING SEATING AT FAZAL MAHMOOD & IMRAN KHAN ENCLOSURE AT GADDAFI STADIUM, LAHORE
(Date of Publication: 17-05-2024)
Bidding Document
Technical Evaluation Report
Final Evaluation Report
INVITATION OF BIDS FOR GEOTECHNICAL INVESTIGATIONS ESTABLISHMENT OF RESCUE 1122 STATION AT CBD WALTON, LAHORE
(Date of Publication: 15-05-2024)
Bidding Document
NESPAK- REQUIRES IT EQUIPMENT FOR WATER AND AGRICULTURE DIVISION LAHORE
(Date of Publication: 12-05-2024)
NESPAK- REQUIRES IT EQUIPMENT FOR HEAD OFFICE LAHORE
(Date of Publication: 09-05-2024)
NESPAK- REQUIRES IT EQUIPMENT FOR WATER AND AGRICULTURE DIVISION LAHORE
(Date of Publication: 08-05-2024)
SERVICES OF CAFETERIA SUPPLIER REQUIRED AT ISLAMABAD OFFICE
(Date of Publication: 05-05-2024)
INVITATION OF BIDS FOR ENVIRONMENTAL MONITORING AND LABORATORY TESTING PREPARATION OF WESTERN GREATER PESHAWAR SPATIAL MASTER PLAN UNDER KHYBER PASS ECONOMIC CORRIDOR DEVELOPMENTPLAN (KPEC) PROJECT
(Date of Publication: 03-05-2024)
Bid Invitation Letter
Qualification Criteria
Technical Bid Evaluation Report
Final Evaluation Report
INVITATION FOR BIDS (ESTABLISHMENT OF FACULTY OF PARAMEDICAL & ALLIED HEALTH SCIENCES COMPLEX AT HAYATABAD, PESHAWAR)
(Date of Publication: 17-04-2024)
Bidding Document
Technical Evaluation Report
Final Evaluation Report
NESPAK- REQUIRED STATIONERY ITEMS FOR HEAD OFFICE LAHORE
(Date of Publication: 02-04-2024)
Bidding Document
PROCUREMENT OF GEOPHYSICAL BOREHOLE LOGGING SYSTEM
(Date of Publication: 29-03-2024)
Bidding Document
DIAMER BASHA DAM PROJECT INVITATION TO BID FOR SUPPLY OF OFFICE EQUIPMENT
(Date of Publication: 27-03-2024)
Bidding Document
INVITATION FOR BIDS CONSTRUCTION OF LAHORE BYPASS FROM KALA SHAH KAKU EXIT TO KLM TO MULTAN ROAD NEAR RADIO STATION (30 KM) AND EXTENSION OF KLM START POINT TO SAGGIAN ROAD AND MAIN RAVI BRIDGE (10 KM)
(Date of Publication: 24-03-2024)
Qualification Criteria
Bid Invitation Letter
INVITATION FOR BIDS (RENOVATION/CONSTRUCTION/UPGRADATION OF WASA FAISALABAD OFFICES
(Date of Publication: 24-03-2024)
SUPPLY OF SUMMER UNIFORM
(Date of Publication: 17-03-2024)
INVITATION FOR BIDS ENLISTMENT OF PHARMACIES ON NESPAK PANEL
(Date of Publication: 15-03-2024)
Bidding Document
NESPAK- REQUIRED STATIONERY ITEMS FOR HEAD OFFICE LAHORE
(Date of Publication: 23-02-2024)
SERVICES OF CAFETERIA SUPPLIER REQUIRED AT ISLAMABAD OFFICE
(Date of Publication: 18-02-2024)
SUPPLY OF RENTAL VECHICLES
(Date of Publication: 10-02-2024)
SUPPLY OF INTERACTIVE LED
(Date of Publication: 02-02-2024)
Bidding Document
ADVERTISEMENT FOR REPLACEMENT, SUPPLY, INSTALLATION, TESTING & COMMISSIONING OF FIVE (5) NOs. AIR HANDLING UNITS AT NESPAK HOUSE, LAHORE
(Date of Publication: 02-02-2024)
Bidding Document
INVITATION FOR BIDS CONSTRUCTION OF LAHORE BYPASS FROM KALA SHAH KAKU EXIT TO KLM TO MULTAN ROAD NEAR RADIO STATION (30 KM) AND EXTENSION OF KLM START POINT TO SAGGIAN ROAD AND MAIN RAVI BRIDGE (10 KM)
(Date of Publication: 02-02-2024)
Bidding Document
Technical Evaluation Report
Final Evaluation Report
SUPPLY OF TONERS AND INK CARTRIDGES
(Date of Publication: 01-02-2024)
INVITATION FOR BIDS -ENLISTMENT OF PHARMACIES ON NESPAK PANEL IN LAHORE
(Date of Publication: 01-02-2024)
Bidding Document
SUPPLY OF IT EQUIPMENT
(Date of Publication: 27-01-2024)
List of Equipment
INVITATION FOR BIDS SUPPLY OF FURNITURE
(Date of Publication: 24-01-2024)
INVITATION FOR BIDS INVITATION OF BIDS FOR GEOTECHNICAL INVESTIGATIONS CONSTRUCTION OF NEW PAVILION BUILDING AT ABBOTTABAD CRICKET STADIUM
(Date of Publication: 19-01-2024)
BOQ
Bid Invitation Letter
Qualification Criteria
Technical Evaluation Report
INVITATION FOR BIDS SALE OF 2 KANAL HOUSE LOCATED AT DHA PHASE-II LAHORE
(Date of Publication: 10-01-2024)
Bidiing Document
Hiring of Rental Building for Office
(Date of Publication: 09-01-2024)
Bidiing Document
INVITATION OF BIDS CAFETERIA SERVICES AT NESPAK HOUSE
(Date of Publication: 05-01-2024)
Bidiing Document
Technical Evaluation Report
Financial Evaluation Report
INVITATION FOR BIDS WATER REQUIREMENT FOR K-IV PROJECT IMPROVEMENT OF KALRI BAGHAR FEEDER & KEENJHAR LAKE – PLAIN CEMENT CONCRETE (PCC) LINING OF KALRI BAGHAR FEEDER UPPER PHASE-I PROJECT
(Date of Publication: 04-01-2024)
Bidiing Document
Technical Evaluation Report
Final Evaluation Report
DISPOSAL OF DISCARDED ITEMS
(Date of Publication: 03-01-2024)
Bidiing Document
-->-->-->
INVITATION OF BIDS FOR GEOTECHNICAL INVESTIGATIONS CONSTRUCTION OF ARTERIAL MAIN, SECONDARY AND DISTRIBUTION NETWORK IN THE AREAS IN THE EASTERN PART OF FAISALABAD CITY
(Date of Publication: 12-12-2023)
Bidding Document
Technical Evaluation Report
Final Evaluation Report
INVITATION OF BIDS FOR GEOTECHNICAL INVESTIGATIONS TECHNICAL ASSESSMENT OF REHABILITATION/ REDESIGNING WORKS OF WATER SUPPLY SCHEMES OF UNOPS WASH PROJECT IN TANK (KPK) & UMERKOT (SINDH), PAKISTAN WATER SUPPLY SCHEME AT MEHSUDABAD / MEHBOOBABAD
(Date of Publication: 05-12-2023)
Bidding Document
Technical Evaluation Report
Final Evaluation Report
INVITATION OF BIDS FOR GEOTECHNICAL INVESTIGATIONS TECHNICAL ASSESSMENT OF REHABILITATION/ REDESIGNING WORKS OF WATER SUPPLY SCHEMES OF UNOPS WASH PROJECT IN TANK (KPK) & UMERKOT (SINDH), PAKISTAN WATER SUPPLY SCHEME AT JANNATABAD
(Date of Publication: 05-12-2023)
Bidding Document
Technical Evaluation Report
Final Evaluation Report
CORRIGENDUM REPLACEMENT, SUPPLY, INSTALLATION, TESTING & COMMISSIONING OF FIVE (5) NOS. AIR HANDLINING UNITS AT NESPAK HOUSE LAHORE EXTENSION IN BID SUBMISSION DEADLINE
(Date of Publication: 01-12-2023)
IT EQUIPMENT FOR NESPAK HEAD OFFICE LAHORE
(Date of Publication: 26-11-2023)
UNDERWATER INSPECTIONS AT HYDRAULIC STRUCTURES
(Date of Publication: 25-11-2023)
Scope of Services
Technical Evaluation Report
DISPOSAL OF USED VEHICLES
(Date of Publication: 25-11-2023)
INVITATION FOR BIDS ESTABLISHMENT OF NATIONAL UNIVERSITY OF PAKISTAN (NUP), ISLAMABAD
(Date of Publication: 20-11-2023)
Bidding Document
Technical Evaluation Report
Final Evaluation Report
INVITATION FOR BIDS ESTABLISHMENT OF INSTITUTE OF INCLUSIVE EDUCATION (IIE), ISLAMABAD
(Date of Publication: 20-11-2023)
Bidding Document
Technical Evaluation Report
Final Evaluation Report
NESPAK- REQUIRED STATIONERY ITEMS FOR HEAD OFFICE LAHORE
(Date of Publication: 20-11-2023)
REPLACEMENT, SUPPLY, INSTALLATION, TESTING & COMMISSIONING OF FIVE (5) NOs. AIR HANDLING UNITS AT NESPAK HOUSE, LAHORE
(Date of Publication: 15-11-2023)
Bidding Document
INVITATION OF BIDS FOR GEOTECHNICAL INVESTIGATIONS MASTER PLANNING, INFRASTRUCTURE DESIGNS, DETAIL ESTIMATION AND RESIDENT SUPERVISION FOR STRENGTHENING OF KHAN BAHADAR CHOUDHRY MUSHTAQ AHMED (KBCMA), COLLEGE OF VETERINARY AND ANIMAL SCIENCES, NAROWAL
(Date of Publication: 15-11-2023)
Bidding Document
Technical Evaluation Report
Final Evaluation Report
INVITATION FOR BIDS GEOTECHNICAL INVESTIGATIONS FOR BARA DAM MULTIPURPOSE PROJECT, DISTRICT KHYBER PAKHTUNKHWA
(Date of Publication: 14-11-2023)
Qualification Criteria
Bid Invitation Letter
Specifications
BOQ
SUPPLY OF WINTER UNIFORM (CLOTH, JERSEYS, SOCKS & SHOES)
(Date of Publication: 04-11-2023)
DIAMER BASHA DAM PROJECT INVITATION TO BID FOR GROUP LIFE INSURANCE OF NON-TECHNICAL/ WORK CHARGED SUPPORT STAFF
(Date of Publication: 13-10-2023)
Bidding Document
INVITATION OF BIDS FOR GEOTECHNICAL INVESTIGATIONS DETAILED DESIGN AND CONSTRUCTION SUPERVISION/IMPLEMENTATION OF LOCAL AREA DEVELOPMENT PROGRAM (LADP) PUBLIC HEALTH, LIVELIHOOD DEVELOPMENT AND DOWNSTREAM FISHERIES PLANS CONSTRUCTION OF GPS AND GHS SCHOOLS, SEO NULLAH, UPPER KOHISTAN, KP
(Date of Publication: 06-10-2023)
Bidding Document
Technical Evaluation Report
Final Evaluation Report
NESPAK- REQUIRES TONER AND INK CARTRIDGES FOR HEAD OFFICE LAHORE
(Date of Publication: 05-10-2023)
REPLACEMENT OF ELEVATOR CONTROLLER (630 KG, MAKE: SIGMA BY OTIS) INSTALLED AT NESPAK HOUSE LAHORE
(Date of Publication: 24-09-2023)
Bidding Document
INVITATION OF BIDS FOR GEOTECHNICAL INVESTIGATIONS RAVI RIVERFRONT URBAN DEVELOPMENT PROJECT CONSTRUCTION MATERIAL AVAILABILITY STUDIES PHASE-I (ALONG RIVER RAVI)
(Date of Publication: 21-09-2023)
Bidding Document
Technical Evaluation Report
Final Evaluation Report
NESPAK- REQUIRES ASSESSMENT OF STRUCTURAL STRENGTH OF EXISTING STRUCTURES FOR VARIOUS BUILDINGS IN PAKISTAN
(Date of Publication: 21-09-2023)
Bid Invitation Letter
BOQ
NESPAK- REQUIRES IT EQUIPMENT FOR HEAD OFFICE LAHORE
(Date of Publication: 09-09-2023)
Specification Document
INVITATION OF BIDS FOR GEOTECHNICAL INVESTIGATIONS RAVI RIVERFRONT URBAN DEVELOPMENT PROJECT CONSULTANCY SERVICES FOR DESIGN OF RUDA OFFICE BUILDING IN CHAHAR BAGH
(Date of Publication: 08-09-2023)
Bidding Document
Technical Evaluation Report
Final Evaluation Report
HIRING OF STATIONERY SUPPLIER FOR NESPAK HOUSE, ISLAMABAD
(Date of Publication: 12-08-2023)
NVITATION FOR BIDS REPLACEMENT OF ELEVATOR CONTROLLER (630 Kg, Make: Sigma by Otis) INSTALLED AT NESPAK HOUSE LAHORE
(Date of Publication: 03-08-2023)
Bidding Document
INVITATION TO BID PROCUREMENT OF NEW DESKTOP RENDERING COMPUTERS (02 NOS.)INTEL CORE i7 – 13700K PROCESSOR
(Date of Publication: 31-07-2023)
Bidding Document
PHOTOCOPY MACHINES ON RENTAL BASIS (PHOTOCOPYING & BINDING SERVICES)
(Date of Publication: 26-07-2023)
=